ok138cn太阳集团529赵振兴课题组借助QCD求和规则方法计算了
过程的形状因子,并与格点QCD的结果进行了直接的对比。相关研究成果以“Semileptonic form factors of
in QCD sum rules”为题,于2023年12月13日发表在物理学TOP期刊Physical Review D上(图1)。

图1:论文在Physical Review D上在线发表
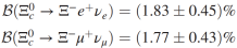
2021年,Belle合作组测量了粲重子半轻衰变过程
的衰变分支比:
这是迄今为止对该衰变过程最高精度的测量。而在同年,被公认为从第一性原理出发的格点QCD计算得到
由此可见,格点计算与实验测量之间存在显著偏离。有人提出可以通过考虑
之间的混合来解释该偏离。然而最近的格点QCD和QCD求和规则计算表明,该混合角非常小,大约只有1°--如此小的混合角显然不能解释上述偏离。
赵振兴课题组借助QCD求和规则方法,系统研究了
过程的形状因子。在QCD层次,一直考虑到量纲为6的四夸克算符的贡献,得到了Wilson系数的领头阶。QCD求和规则是一种基于QCD的非微扰方法,它通过夸克凝聚和胶子凝聚等少数几个普适参数、将强子唯象与QCD真空结构联系起来,在强子性质的研究方面取得了巨大的成功。
该研究得到了非常有趣的结果:计算得到的形状因子与格点QCD的结果非常接近,除了
明显比格点的结果更小(图2)。这使得当把这些形状因子应用于半轻衰变分支比的计算时,得到比格点QCD预言更小、更加接近Belle实验的结果:
在误差范围内,仍然与上述二者保持一致。事实上,衰变分支比本身不足以在理论和实验之间进行精确的对比,形状因子包含了更多的信息,因此该研究建议实验家直接测量
过程的形状因子。该研究也将有助于解决上述格点计算与实验测量之间的偏离。

图2:计算得到的形状因子与格点QCD进行比较
该论文由赵振兴课题组独立完成,赵振兴作为论文第一作者和通讯作者,课题组博士生孙小宇为第二作者和共同通讯作者,OK138太阳集团为唯一署名单位。该成果得到OK138太阳集团“骏马计划”引进人才科研启动金、自治区本级引进高层次人才科研支持、以及国家自然科学基金(项目号:12065020)的支持。
论文链接:https://link.aps.org/doi/10.1103/PhysRevD.108.116008。