近日,我院李锋钰教授指导研究生在理论设计新型二维材料领域取得新进展,相关成果以“A new 2D Janus family with multiple properties: auxetic behavior, straintunable photocatalyst, high Curie temperature ferromagnets, and piezoelectric quantum anomalous Hall insulator”为题发表在材料学知名期刊Science China Materials(《中国科学材料》)上。(论文链接:https://link.springer.com/article/10.1007/s40843-023-2708-4)

图1:论文首页
发现新的二维材料并探索其独特性质与潜在应用是凝聚态物理与材料科学的重要课题。迄今为止具有六角晶格的二维过渡金属硫化物(Transition Metal Dichalcogenide,TMDs)已经得到了广泛研究,且在光电、压电、催化和能源存储等领域有着广泛的应用。值得注意的是,大量理论和实验研究发现,将TMD材料的一层S替换为Se得到的Janus材料,由于打破了面外对称性,会出现许多新奇的物理性质,例如大的Rashba自旋劈裂、强压电效应、高载流子迁移率以及高的光解水产氢效率等。通过对实验和理论报道的具有多种性质的新型方晶格S-XS2二维材料进行Janus化,有望发掘具备新奇物理性质的二维材料家族。

图2:(a)S-XSSe单层结构示意图。(b)第一布里渊区路径。(c)S-SiSSe单层的声子谱。(d)300 K下S-SiSSe单层的分子动力学模拟结果以及能量波动情况。
该工作中,通过密度泛函理论计算,确定了7种具有近似方晶格的新型二维Janus S-XSSe(X = Si,Sn,V,Cr,Mo,Re和Os)单层材料。值得注意的是,S-SiSSe和S-SnSSe单层都具有拉胀行为,此外,由于具有合适的带边位置、可见光区的高效吸收系数和较大的载流子迁移率差,它们是潜在的光催化剂,而且光催化性能还可以通过改变pH值和施加双轴应变来提高。
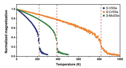
在不考虑自旋轨道耦合(SOC)时,S-VSSe,S-CrSSe和S-MoSSe是铁磁半金属,并具有较高的居里温度TC(分别为210、810和390 K)。加入SOC后,S-VSSe成为量子反常霍尔(QAH)绝缘体,具有较大的带隙(45.4 meV)和一个手性边缘态(陈数C = −1)。
对半导体S-XSSe(X = Si,Sn和V)单层的对称性分析,基底面上的单轴应变只能诱发面外压电响应。其中,S-VSSe的面外压电系数d31和d32最大,分别为−0.013和0.025 pm V−1。压电性、拓扑性和铁磁性的共存使单层S-VSSe成为具有大带隙和高TC的多功能自旋电子学应用的潜在平台。
此项研究工作将给二维材料增添新家族,并有望带来更广阔的应用。
图3:(a)NPR和PPR对应的键长l和键角θ变化示意图。(b)S-SnSSe、(c)S-OsSSe 单层在沿x方向的单轴(范围从−5%到5%)应变下的几何响应。(d)S-SnSSe和(e)S-OsSSe在应变下沿着(a)中的橙色虚线的ELF概况。
图4:(a)S-SiSSe和(b)S-SnSSe单层的表面电势差。(c)S-SiSSe单层在pH = 14和(d)S-SnSSe单层在pH = 1时相对于水氧化还原电势的的能级排布。虚线表示水的还原电位和氧化电位。(e)S-SiSSe和(f)S-SnSSe单层在x、y和z方向上的光吸收谱。
图5:(a)S-SiSSe和(b)S-SnSSe在双轴应变和不同pH下的带边位置。S-SiSSe在(c)x、(d)y和(e)z方向上的双轴应变依赖的光吸收系数。S-SnSSe在(f)x、(g)y和(h)z方向上的双轴应变依赖的光吸收系数。
图6:S-VSSe、S-CrSe和S-MoSSe单层归一化磁矩的蒙特卡洛模拟。

图7:S-VSSe单层在(a)未考虑SOC和(b)考虑SOC的能带结构。放大的图像显示了ΓX路径上GGA+SOC中的狄拉克锥,打开了45.4 meV的带隙,以及相应的反常霍尔电导率 (AHC)。(c)S-VSSe单层在 (010) 方向上的拓扑边缘态。
2022级博士研究生刘宇为论文的第一作者,李锋钰教授为该论文的通讯作者。该研究得到了国家自然科学基金地区基金项目、内蒙古自治区草原英才项目、OK138太阳集团青年科技人才培育项目等项目资助。
主要作者简介:
刘宇,2022级博士研究生,主要从事二维材料物理性质的研究。以第一或共同第一作者在国际著名期刊JMCA,SCM和Nanoscale发表学术论文3篇。
李锋钰,教授,博士生导师。研究领域为低维纳米材料的模拟与设计。已在PRB、NJP、ACS Catal.、JMCA等国际期刊发表论文80余篇,总引用3700余次,H-index为30。多个工作被选为封面论文和被知名科研媒介推送。担任Adv Powder Mater特聘编委和J Mater Inf青年编委,担任JMI、Nanomaterials和Catalysts特刊客座编辑,担任Nat. Commun.、Adv. Sci.、Small、JMCA等国际期刊独立审稿人。先后入选JMCA优秀审稿人、内蒙古自治区草原英才、JMI青编贡献奖和APM优秀宣传奖等。